ブシラミン(商品名:リマチル)
ブシラミンはDMARDsであり、正常な免疫機能に影響を与えず免疫機能を調整する免疫調節薬に含まれます。
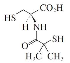
免疫複合体やリウマトイド因子のジスルフィド結合(-S-S-)を開裂して効果を発現します。またリンパ球抑制作用を示すとも考えられていますが詳細については明らかになっていません。
同効薬にD-ペニシラミン(商品名:メタルカプターゼ)があり、類似構造を持っています。ペニシラミンはRA以外にウィルソン病、鉛・水銀・銅中毒に使用されることもあります。
ブシラミンは比較的軽症~中等症のRA患者に対して有効性があるとされ、国内でよく使用されていますが、世界ではほとんど使用されていません。

用法・用量
用量は100㎎から300㎎/日の範囲で投与します。
300㎎/日では副作用の発現頻度が高く、低用量でも効果発現がみられるため、最近では100㎎/日から開始し、100~200㎎/日程度で治療することが多いです。
副作用
副作用として、蛋白尿の出現があり、腎機能障害患者では禁忌となっています。また無顆粒球症などの血液障害を起こすことがあるため注意が必要です。
他にも肝障害、味覚障害、皮疹・痒疹、末梢神経障害などが報告されています。
服用後は血液検査を定期的に実施し、発熱などの初期症状に注意する必要があります。
「味がわからない、手足がしびれる」などの症状が確認されればすぐに対応する必要があります。